自2019年底首次爆发至今,新型冠状病毒仍在全球肆虐,对世界经济、社会造成极大的负面影响。面对变异毒株奥密克戎横行,网友们也纷纷献计献策:多睡觉可以预防新冠、抽烟能治疗新冠、喝酒能预防新冠……这些传言是可靠还是谣言呢?

充足睡眠可以增强人体免疫力,降低新冠感染的严重程度
睡眠对维持、提升免疫力至关重要。每当我们生病的时候,我们都想睡觉,这是因为睡眠和我们的免疫系统有着至关重要的关系。每天睡眠时间少于7小时的人,感冒的几率是别人的3倍;睡眠时间不足5小时。患肺炎的可能性增加70%。事实上,充足的夜间睡眠可以让我们的免疫系统重新储备武器,让我们成为一个免疫能力更强的人!
近期一篇文章指出,在感染新冠前的睡眠障碍,与感染新冠病毒后的患病程度有关[1];如果感染前睡眠时间减少,也跟发生严重感染的风险,以及感染预后差的情况有关。来自挪威卑尔根大学、中国香港中文大学合作的研究显示[2],经常熬夜、上夜班的人,一旦感染新冠后,重症的风险几乎增加6倍。

(图片来自文献1,COVID-19患者睡眠/精神状态与患病程度的相互作用)
早在2019年,来自德国图宾根大学的Stoyan Dimitrov博士和他的团队就发现了熬夜对免疫细胞的危害:影响正常免疫功能,长期睡眠不足,有可能导致免疫系统的崩溃[3]。在正常的睡眠中,T细胞(免疫细胞的一种)与需要清除的目标结合的最好,并随着睡眠的深入,工作效率越来越高,在早上6点时达到一天中的最高水平。然而第二天熬夜通宵时,T细胞却一反常态,本应是效率最高的早上6点,却一蹶不振,远远不如睡眠充足的那天那样有干劲。

(图片来自文献3,熬夜降低免疫细胞活性)
吸烟伤害免疫细胞,增加新冠肺炎重症概率
Cell杂志发表的一项最新研究表明[4],吸烟会阻塞关键的免疫细胞,延缓它们的行动,阻碍它们对抗感染的能力。正因如此,吸烟者往往面临更大的肺结核风险,感染后的病情也更为严重。
钟南山院士团队发表科研论文《2019年中国新型冠状病毒感染的临床特征》,论文通过对1099例患者的临床特征研究,总结出一系列特殊病例。结果显示,长期吸烟者更容易成为新冠肺炎重症患者,几率为21.2%;而非吸烟者,新冠肺炎重症几率为14.5%。
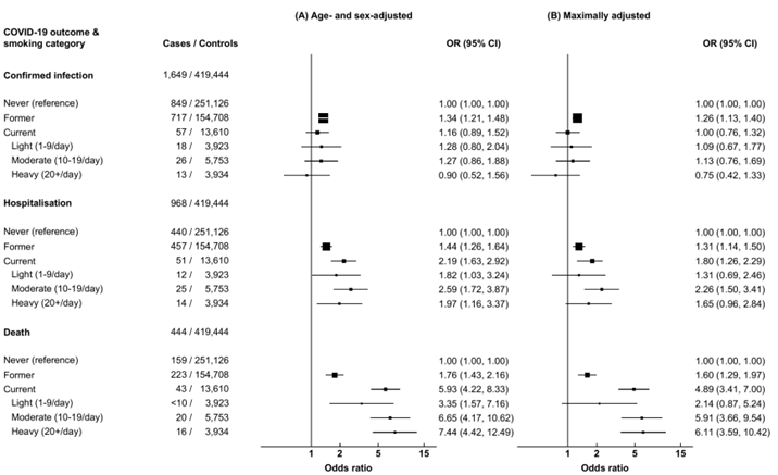
BMJ 上一项研究显示[5],吸烟整体上让新冠感染风险高出了一倍,住院风险升高 5 倍,死亡风险升高 10 倍。

(图片来自文献4,吸烟增加COVID-19患者的住院风险和死亡风险)
发表在国际发育生物学杂志《Developmental cell》上一项研究证实[6],香烟会在人肺中引起新冠病毒受体ACE2水平增加,进而加重吸烟者患重症新冠肺炎的风险。

(图片来自文献5,与不吸烟者对比,吸烟者有更高水平的ACE2表达)
喝酒伤害免疫系统,增加患病风险
关于喝酒与新冠疫情, WHO发布了一份题为“酒精与COVID-19:你需要知道的”的文件[7]。该文件重点强调以下三个方面信息:
1、喝酒不能杀灭病毒,如果有人感染了病毒,喝酒反而会增加健康风险。
2.喝酒不能杀死吸入气体中的病毒;它不会消毒你的口腔和喉咙;它不会为你提供任何抵御COVID-19的保护。
3.酒精会损害你的免疫系统,不能激发抵御病毒的免疫和和抵抗力。
文件最后特别强调:无论任何情况下,你都不应喝任何类型的酒精产品作为预防或治疗COVID-19感染的方法。

发表在《Alcohol research & health》杂志上一篇题为“Focus on: Alcohol and the immune system”的文章指出[7]:饮酒,特别是大量饮酒,会抑制先天性免疫系统和获得性免疫系统,导致感染的风险增加,可显著增加患细菌性和病毒性肺炎的风险。

(图片来自文献7,酗酒会降低宿主对细菌感染的防御能力)
早在2020年1月23日,李兰娟院士在新型冠状病毒感染的肺炎疫情答问时,已对“适量喝酒预防新冠”进行了解释和辟谣。李兰娟院士表示,此前她向公众科普“75%酒精能够杀灭冠状病毒”言论被广大网友曲解成“喝酒可以抗病毒”。医用酒精是用于消毒医疗器械和皮肤用的,并不是让大家喝酒。所以喝高度白酒能预防新冠纯属谣言。
保护免疫细胞,做自己健康的第一责任人
面对新冠病毒的不断袭击,保护自身的免疫细胞,提高免疫力对我们每个人来说是至关重要的。在饮食、运动方面也要多多注意,吃好喝好休息好,提高自己的免疫力来对抗各种病原体。

除了上述提高免疫力的方式之外,我们也可以将自己年轻有活力的免疫细胞存储起来,为健康备份保障。存储免疫细胞可以为自己准备一支强大的免疫军队,等到有需要的时候再回输到体内,帮助我们提高免疫力甚至是对抗疾病的侵袭。
参考文献:
[1]Neculicioiu V S , Colosi I A , Costache C , et al. Time to Sleep?—A Review of the Impact of the COVID-19 Pandemic on Sleep and Mental Health[J]. IJERPH, 2022, 19.
[2]Bjorvatn B, Merikanto I, Reis C, et al.. Shift workers are at increased risk of severe COVID-19 compared with day workers: Results from the international COVID sleep study (ICOSS) of 7141 workers. Chronobiol Int. 2022 Nov 22:1-9.
[3]Dimitrov S, Lange T, Gouttefangeas C, et al. Gαs-coupled receptor signaling and sleep regulate integrin activation of human antigen-specific T cells[J]. Journal of Experimental Medicine, 2019.
[4]Berg, D Russell, Levitte, et al. Lysosomal Disorders Drive Susceptibility to Tuberculosis by Compromising Macrophage Migration.
[5]Clift A K , Ende A V , Tan P S , et al. Smoking and COVID-19 outcomes: an observational and Mendelian randomisation study using the UK Biobank cohort.[J]. BMJ, 2021.
[6]Smith J C , Sausville E L , Girish V , et al. Cigarette Smoke Exposure and Inflammatory Signaling Increase the Expression of the SARS-CoV-2 Receptor ACE2 in the Respiratory Tract[J]. Developmental Cell, 2020, 53(5).
[7]http://globalgapa.org/wp-content/uploads/2020/04/ENG_SHORT_ALC_COVID_11420PAHO.pdf
[8]Molina PE, Happel KI, Zhang P, Kolls JK, Nelson S. Focus on: Alcohol and the immune system. Alcohol Res Health. 2010;33(1-2):97-108.
本文为知识性科普,仅供学习、交流,请勿用作商业用途







