2023年,我国间充质干细胞新药研发不断取得进展,相继相关新药IND获批,同时一些产品在临床上也取得了实质性进展。根据媒体报道,针对膝骨关节炎的间充质干细胞产品启动了III期临床试验,这意味着针对骨关节炎的干细胞新药距离上市又进了一步。
那么,间充质干细胞治疗骨关节炎临床效果如何呢?今天我们将通过最新发表的临床综述一起来看看。
间充质干细胞:骨关节炎的新型治疗选择
关节炎是一种退行性疾病,其中骨关节炎(OA)最为常见。在45岁以上的人群中,高达10%的男性和18%的女性患有症状性关节炎。目前对骨关节炎的保守治疗方式旨在改善症状,并不能达到根除疾病的目的。使用简单止痛剂和口服消炎药的疗效有限,并且常伴发不良副作用。保守治疗失败的骨关节炎最终需要采取全关节置换术。

美国每年进行超过700000例全膝关节置换。但关节置换术仍是一种不可预测的手术,有高达20%的患者在术后12个月出现持续的功能丧失和疼痛;15%的患者在术后3-4年出现持续的严重或极度疼痛。
骨关节炎的病理生理学:膝关节微结构受到机械或生物损伤,打破了合成和分解代谢之间的平衡,衰老进一步加剧了这种不平衡。自由基的释放伴随着IL-1、TNFα等炎性因子的上调;基质金属蛋白酶(如MMP-13)增加促使细胞外基质降解。这导致伴随关节间隙丧失的软骨变性、滑膜炎、骨赘和具有硬化和囊肿的软骨畸形,患者关节疼痛异常,活动能力降低。
间充质干细胞(MSCs)沿中胚层谱系分化发育为结缔组织(包括骨、肌肉和软骨),并可通过旁分泌和细胞间相互作用发挥修复作用。MSC的免疫调节和营养作用可以促进组织修复和关节功能的恢复。先前的研究表明,间充质干细胞在治疗中度膝关节炎方面有良好的效果。大量临床前研究表明了MSC治疗骨关节炎的有效性,且这些临床前结果得到了I期和II期临床试验的支持。

近年来,脐带、胎盘和脂肪等组织来源的间充质干细胞成为了临床治疗骨关节炎的全新选择,并且相继有研究成果报道,相信未来,间充质干细胞在膝骨关节炎的临床治疗领域会发挥更大的作用。
新综述评估结果:间充质干细胞治疗骨关节炎可产生显著的健康效应
根据REGENERATIVE MEDICINE近来发表了一篇综述[1],间充质干细胞治疗不仅有望降低骨关节炎的直接医疗成本,而且可通过避免或延迟关节置换术,降低与病假、提前退休和残疾相关的骨关节炎间接成本。

图 1受试者招募和跟踪[1]
这项综述纳入了329名年龄在23-85岁之间患有疼痛性膝关节炎的受试者,均接受了间充质干细胞治疗,随访时间为两年。所有的受试者组均观察到显著的疼痛和功能改善,包括重度骨关节炎患者,且未观察到严重不良反应。参与者的年龄和体重不影响临床结果。
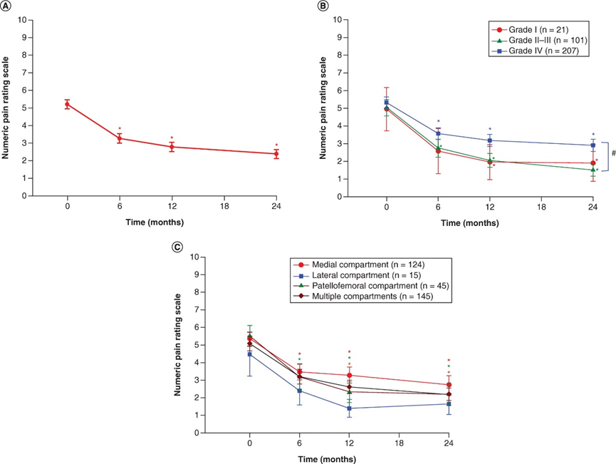
根据数字疼痛评定量表(NPRS)结果显示,受试者疼痛在12个月时改善了46.5%,这种改善一直持续到24个月的最终随访(54.5%)(图2)。

图 2 0、6、12 和 24 个月的数字疼痛评定量表 (NPRS) 评分[1]
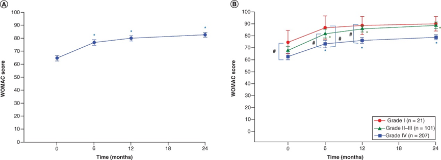
膝关节功能评分(KOOS)和骨关节炎指数量表(WOMAC)的结果与数字疼痛评定量表类似,在所有的随访时间点均表现出明显的改善(图3、4)。

图 3 0、6、12 和 24 个月时所有五个 KOOS 子量表的膝关节骨关节炎结果评分[1]

图 4 0、6、12和24个月的WOMAC 评分[1]
此外,骨关节炎部位不影响患者的治疗效果, 骨关节炎的不同位置(内侧间室、外侧间室、髌骨或多间室)的功能评分没有统计学上的显著差异。
关于治疗的安全性,观察发现间充质干细胞治疗并无严重不良事件的产生。部分受试者在间充质干细胞治疗后观察到自限性的肿胀、疼痛和僵硬,口服镇痛药和冰敷即可明显改善。一小部分受试者的疼痛和肿胀影响了他们的日常活动,需要使用阿片类镇痛药改善。但所有报告的不良事件均在门诊进行,无需住院治疗。
值得注意的是,此临床试验招募了轻度至重度骨关节炎患者,没有年龄限制(唯一的要求是年龄为18岁或以上),从而使受试者人口统计学与骨关节炎实际流行病学更加相近。
根据综述分析得到了以下结论:干细胞疗法是一种有效、安全和持久的治疗膝骨关节炎的方法,可以大大减轻膝关节疼痛,改善膝关节功能。此外,干细胞疗法可以延迟或减少膝关节置换手术,并产生显著全球健康和经济效益。
小结与展望
骨关节炎缺乏临床治愈手段,也是与重大经济负担相关的导致残疾的主要原因。研究表明,间充质干细胞在治疗更广泛人群的症状性骨关节炎方面具有转化潜力,具有可重复的临床改善,并且有重要证据表明这种方法可以延迟或避免患者进行全关节置换术。这种长期的安全性和有效性数据加强了间充质干细胞治疗作为一种循证有效的治疗方式,为临床医生提供了骨关节炎的替代和创新治疗选择。
不过,未来仍然还需要更多的随机对照临床试验以及患者的长期随访结果,来进一步推动间充质干细胞治疗骨关节炎的临床应用。
[1] FREITAG J, WICKHAM J, SHAH K, & TENEN, 2022. Real-world evidence of mesenchymal stem cell therapy in knee osteoarthritis: a large prospective two-year case series[J/OL]. Regenerative Medicine 17 (6): 355–73. https://doi.org/10.2217/rme-2022-0002.
本文为知识性科普,仅供学习、交流,请勿用作商业用途。







